ВЕРОЯТНОСТЕЙ ТЕОРИЯ - занимается изучением событий, наступление которых достоверно неизвестно. Она позволяет судить о разумности ожидания наступления одних событий по сравнению с другими, хотя приписывание численных значений вероятностям событий часто бывает излишним или невозможным. Согласно П.Лапласу, внесшему, пожалуй, наибольший вклад в развитие теории вероятностей, она "по существу представляет собой не что иное, как здравый смысл, сведенный к вычислениям". Слово "вероятно", его синонимы и производные от него могут употребляться в различных значениях. Примерами некоторых из них являются следующие утверждения: "Возможно, завтра будет дождь", "Вероятно, теория естественного отбора Дарвина верна" и "Если я брошу монету 100 раз, то, вероятно, что она выпадет вверх "орлом" от 40 до 60 раз". Математическая теория вероятностей имеет дело с утверждениями, аналогичными последнему.
ЭЛЕМЕНТАРНАЯ ТЕОРИЯ
В очень простых ситуациях интуитивно ясно, каким образом можно приписать вероятности отдельным событиям. Например, если в коробку положить 8 красных и 2 белых фишки для игры в покер и хорошенько потрясти ее, то представляется более вероятным, что, извлеченная из коробки, наудачу, фишка окажется красной; и действительно, вероятность извлечь красную фишку в четыре раза больше вероятности извлечь белую фишку. Так как это испытание (извлечение из коробки первой фишки) имеет 10 возможных исходов, из которых 8 приходится на долю красных фишек, то доля благоприятных исходов подсказывает, что вероятность извлечь красную фишку составляет 8/10 или 4/5. Ту же самую ситуацию нередко формулируют иначе, говоря, что шансы вынуть красную фишку равны 4 к 1; шансы p к q означают, что какое-то событие происходит с вероятностью p/(p + q). Аналогично при бросании симметричной игральной кости выпадению любой грани естественно приписать вероятность 1/6, а если мы бросаем симметричную монету, то любой из исходов - выпадение "орла" или "решки" - имеет вероятность 1/2. Но стоит перейти к более сложным событиям, как помощь со стороны интуиции становится менее надежной.
Предположим, что мы бросаем две симметричные монеты. Существуют три возможных исхода: два "орла", две "решки" или "орел" и "решка". Большинство людей, поразмыслив, согласятся с тем, что этим исходам нельзя приписывать одну и ту же вероятность, поскольку два "орла" могут выпасть только в том случае, если первая монета выпадет вверх "орлом" и вторая монета также выпадет вверх "орлом", в то время как комбинация "орел" и "решка" возможна и если первая монета выпадет вверх "орлом", а вторая - вверх "решкой", и если первая монета выпадет вверх "решкой", а вторая - вверх "орлом". Короче говоря, анализ показывает, что трем возможным исходам бросаний двух монет следует приписать вероятности 1/4, 1/4 и 1/2. Корректность такого подхода можно подтвердить бросанием реальных монет в той же степени, в какой физические эксперименты подтверждают большинство законов природы. В более сложных ситуациях интуиция окончательно отказывает, и для того, чтобы правильно приписать ту или иную вероятность сложному событию, требуется некий математический инструмент ее подсчета. Вычисление вероятностей тесно связано с комбинаторным анализом, посвященным подсчету числа способов, которыми можно разместить те или иные объекты, или количества тех или иных событий, которые могут произойти при различных условиях. Элементарные вероятности определяются отношением числа случаев, при которых происходит интересующее нас событие (благоприятный исход), к общему числу случаев. Например, две игральные кости могут выпасть 36 способами, из которых только в 6 случаях сумма выпавших очков равна 7, поэтому вероятность выпадения 7 очков на двух костях равна 1/6. Два события, которые не могут происходить одновременно, называются взаимоисключающими. Например, при однократном бросании игральной кости 5 очков и 6 очков одновременно выпасть не могут. Вероятность того, что произойдет одно или другое взаимоисключающее событие, равна сумме вероятностей этих событий. Например, вероятность того, что при однократном бросании кости выпадет либо 5, либо 6 очков, равна 1/6 + 1/6 = 1/3.
Вероятность достоверного события (которое заведомо наступит) принимается равной 1, а вероятность события, наступление которого невозможно, считается равной 0. Очевидно, что наступление и ненаступление данного события взаимно исключают друг друга, а потому, если вероятность наступления какого-нибудь события равна p, то вероятность его ненаступления будет 1 - p. Однако в более сложных задачах, когда число возможных исходов бесконечно велико, вероятность нельзя задать с помощью простого перечисления всех возможных случаев. Например, если мы представим себе испытание, состоящее в бесконечной серии бросаний симметричной монеты, то ситуация, когда во всех бросаниях выпадают только "орлы", в принципе не невозможна, хотя такому исходу необходимо приписать вероятность, равную 0, так как в высшей степени "невероятно", чтобы в любой достаточно длинной серии бросаний выпадали только "орлы". Для детального анализа вероятностных задач, более сложных, чем простые азартные игры, необходима более строгая и абстрактная формулировка. Именно она и будет рассмотрена ниже. Основной принцип комбинаторного анализа гласит: если что-либо одно можно осуществить m способами, а нечто другое - n способами, то эти действия последовательно можно осуществить mґn способами. Например, обычно торшеры выпускаются с одной большой лампой, которая может работать в трех режимах или быть выключенной, и тремя лампами поменьше, которые можно включать по 0, 1, 2 или 3. Таким образом, у торшера всего 4ґ4 = 16 рабочих режимов (в одном из них все лампы выключены), поэтому правильнее было бы говорить, что торшер можно включать 15-ю различными способами, а не 16-ю, как иногда пишут в рекламных объявлениях. Четверых людей можно выстроить в ряд 4*3*2*1 = 24 способами, так как первого можно выбрать 4 способами, второго - 3 способами, третьего - 2 способами, а четвертого - только одним. Но четырех людей можно посадить в четыре автобуса 4*4*4*4 = 256 способами, так как каждый из них может сесть в любой из четырех автобусов.
Перестановки и сочетания. Многие задачи теории вероятностей удается проанализировать, если воспользоваться некоторыми следствиями из приведенного выше комбинаторного принципа. Размещение предметов в определенном порядке называется перестановкой этих предметов. Например, существуют шесть перестановок чисел 1, 2, 3, а именно: 1, 2, 3; 1, 3, 2; 2, 1, 3; 2, 3, 1; 3, 1, 2; 3, 2, 1. Число перестановок из n предметов равно 1*2*3* ... *n. Сокращенно это число записывается как n! (и читается как "факториал числа n" или "n факториал"). Любое размещение предметов, порядок которых не имеет значения, называется сочетанием. Из набора чисел 1, 2, 3, 4, 5 можно извлечь десятью различными способами любые два числа, если мы условимся не различать пары, состоящие из одних и тех же чисел, взятых в различном порядке, т.е., например, не различать 1, 2 и 2, 1. Если из двенадцати человек нужно выбрать комитет в составе девяти членов, то это можно сделать столькими способами, сколько сочетаний из двенадцати по девять мы можем составить. Это, естественно, относится к случаю, когда сам порядок размещения членов внутри комитета несуществен. Однако число разных баскетбольных команд, которые можно составить из тех же двенадцати человек, равно числу перестановок из девяти элементов, которые можно набрать из этих двенадцати, так как в баскетбольной команде каждый игрок имеет свой номер. Вторая задача для анализа проще: существуют 12*11*10*9*8*7*6*5*4 перестановок, так как первый номер можно выбрать 12 различными способами, второй номер - 11 способами и т.д., пока мы не дойдем до последнего, девятого, номера, который может быть выбран четырьмя способами. В первой задаче любая из 9! перестановок девяти членов комитета приводит к одному и тому же составу комитета, так как состав комитета не зависит от того, в каком порядке перечислять его членов; иначе говоря, число перестановок 12*11*10*9*8*7*6*5*4 дает ответ, который в 9! раз больше, чем нужно. Следовательно, число сочетаний из двенадцати человек по девять равно указанному произведению, деленному на 9!, или

В общем случае число сочетаний из n по r равно n (n - 1)(n - 2) ... (n - r + 1)/r! или n!/r!(n - r)! Это число
называется биномиальным коэффициентом

(см. также НЬЮТОНА БИНОМ). Еще один полезный принцип состоит в
утверждении, что n предметов можно разложить в r коробок rn различными способами, если в любой коробке может
находиться любое число предметов. Чтобы убедиться в этом, заметим, что первый предмет можно положить в любую из r
коробок, после чего второй предмет также можно положить в любую из r коробок и т.д. Таким образом, n предметов
можно разложить
способами.
Обратимся теперь к некоторым приложениям этих принципов. 1) Какова вероятность выпадения ровно двух шестерок при пяти
бросаниях игральной кости (или, что то же, при одном бросании пяти костей)? Пять костей могут выпасть 65 способами.
Две кости, на которых выпали шестерки, можно выбрать способами (сочетания появляются потому, что порядок, в котором
выпадают шестерки, несуществен), т.е. (5*4*3*2*1)/((2*1) * (3*2*1)) = 10 способами.
Не шестерки (их 5: 1, 2, 3, 4 и 5 очков) на остальных 3 костях могут выпасть 53 способами. Следовательно, мы
получаем ровно две шестерки из пяти бросаний 10*53 способами; искомая вероятность, таким образом, равна 10*53/65
или 1250/7776, т.е. ок. 1/6. Вероятность выпадения не менее двух шестерок при пяти бросаниях кости несколько больше;
она равна сумме вероятностей взаимоисключающих событий - выпадения ровно 2, 3, 4, 5 или 6 шестерок при 5
бросаниях. 2) Какова вероятность получить ровно два туза, если из колоды, состоящей из 52, извлекаются 5 карт?
Извлечь из колоды 5 карт можно способами. Пять карт, из которых два туза, а остальные три - не тузы, можно
получить, извлекая два туза способами, а три не туза - способами. Искомая вероятность равна
.
Последовательное применение такого рода рассуждений иногда приводит к удивительным заключениям.
3) Какова вероятность совпадения дней рождения по крайней мере у двух из 23 случайно выбранных людей?
Если предположить, что существует 365 равновероятных возможных дней рождения, то дни рождения 23 людей могут
распределиться (365)23 способами. Число способов, которыми можно распределить по дням года не совпадающие
дни рождения 23 людей, равно 365*364*363* ... *(365 - 22), так как после того, как мы выберем день года,
на который приходится день рождения первого из них, у нас останется только 364 дня для выбора дня рождения
второго, и т.д. Вероятность несовпадения всех 23 дней рождения равна отношению второго числа к первому.
Вероятность же совпадения по крайней мере двух дней рождения равна 1 минус вероятность полного несовпадения
всех 23 дней рождения. Таким образом, ответ нашей задачи равен

что чуть больше 1/2. Если вы выберете наугад 23 (или более) человека, то с большей вероятностью обнаружите, что по крайней мере у двоих дни рождения совпадают, чем то, что все 23 (или более) дня рождения приходятся на различные дни года. Разумеется, вероятность того, что дни рождения двух людей приходятся на 4 июля или на какой-нибудь другой заранее выбранный день, гораздо меньше. 4) Если n писем разложить наугад в n конвертов (по одному письму в конверт), то какова вероятность того, что по крайней мере одно письмо попадет в конверт с правильным адресом? Легче найти вероятность того, что ни одно письмо не попадет в конверт с правильным адресом, а затем вычесть ее из 1. Разложить n писем в n конвертов можно n! способами. Из этого общего числа способов необходимо вычесть число тех вариантов, при которых первое письмо попадает в 1-й конверт, все способы, при которых второе письмо попадает во 2-й конверт и т.д. Письмо, которое будет вложено в конверт с правильным адресом, можно выбрать n способами; остальные n - 1 письмо можно вложить в n - 1 конверт (n - 1)! способами, поэтому общее число вариантов размещения писем по конвертам равно n*(n - 1)! = n! Вычитая это число из общего числа возможных вариантов размещения писем по конвертам, равного n!, мы не оставляем ни одного варианта. Но в действительности мы вычитаем слишком много, так как вариант, в котором, например, первое письмо попадает в 1-й конверт, а второе письмо - во 2-й, мы вычитаем дважды. Чтобы найти, сколько вариантов мы вычли слишком большое число раз, заметим, что существует Cn2 = n (n - 1)/2! пар писем, и если письма, образующие пару, вложены в конверты с правильными адресами, то остальные n - 2 письма можно распределить по конвертам [[n (n - 1)/2!]]*[[(n - 2)!]] способами, т.е. n!/2! способами. Прибавив число способов распределения писем в конверты, при которых два письма вложены в свои конверты, мы получим всего n! - n! + n!/2! вариантов размещения писем по конвертам. Но теперь это слишком много, так как все варианты, при которых в свои конверты вложены три письма, не были учтены (мы вычли число таких вариантов трижды, а затем прибавили его столько раз, сколько пар писем можно образовать из трех писем, т.е. тоже три раза). Следовательно, мы должны вычесть число способов, которыми можно вложить в конверты с правильными адресами три письма, т.е. Cn3*(n - 3)! = n!/3! способов. Далее надлежит учесть, что мы вычли слишком много раз число способов, которыми можно вложить в конверты с правильными адресами четыре письма и т.д. Таким образом, число способов, которыми письма можно разложить по конвертам так, что ни одно письмо не окажется в конверте с правильным адресом, равно n! - n! + n!/2! - n!/3! +... + (-1)n + 1n!/n!, а вероятность этого события равна этому числу, деленному на n!, т.е. равна числу 1 - 1 + 1/2! - 1/3! +... + (-1)n + 1 1/n! Следовательно, вероятность того, что по крайней мере одно письмо окажется в конверте с правильным адресом равна

При больших значениях n эта величина почти не зависит от n и равна 0,632 (с точностью до трех цифр после запятой) при n >= 6; 0,633 при n = 5; 0,625 при n = 4 и 0,667 при n = 3. Таким образом (переходя к другой, аналогичной задаче), если выкладывать по одной на стол карты из двух тщательно перетасованных колод, то выкладываемые на стол карты совпадут с вероятностью почти 2/3 по крайней мере один раз. Это утверждение верно, если в каждой колоде более двух карт.
СОВРЕМЕННАЯ ТЕОРИЯ ВЕРОЯТНОСТЕЙ
Современная теория вероятностей, подобно другим разделам математики, например геометрии, состоит из результатов, выводимых логическим путем из некоторых основных утверждений, или аксиом, и приложений к ситуациям в реальной жизни, относительно которых предполагается, что они согласуются с аксиомами. Трудность теории вероятностей заключается в том, что объекты, составляющие предмет ее изучения, носят гораздо более общий характер и поэтому не столь наглядны, как, например, объекты геометрии или механики. Теория вероятностей занимается изучением событий и их вероятностей, представляемых числами, заключенными в интервале от 0 до 1. В случае исторически знаменитых задач, связанных с азартными играми, можно интуитивно понять, как должна быть сформулирована соответствующая математическая задача. Такая задача обычно имела следующий вид: заданы вероятности некоторых элементарных событий; требуется вычислить вероятность какого-нибудь более сложного события, связанного с элементарными событиями некоторым простым образом. Прежде чем мы более подробно представим современную теорию, полезно проиллюстрировать интуитивную теорию и ее методы на примере. Вычислим вероятность того, что некоторому игроку в бридж достанется один или несколько тузов. В качестве элементарных событий удобно рассматривать получение на руки возможных вариантов из 13 карт. Необходимо, чтобы распределение вероятностей между наборами имеющихся у игроков карт, т.е. элементарными событиями, отражало наше убеждение в том, что карты сдавались весьма специальным образом, а именно случайно. Постулат, который мы примем, сводится к определению того, что мы понимаем под случайной сдачей карт. Мы постулируем, что любой набор из 13 карт, который может достаться игроку при раздаче, равновероятен. Какова эта вероятность? Ответ на этот вопрос может дать интуитивно очевидный принцип, служащий основным методом теории вероятностей: если имеется несколько взаимоисключающих событий (таких, что каждый раз происходит только одно из них), то вероятность того, что произойдет по крайней мере одно из них, равна сумме вероятностей каждого из событий в отдельности. Кроме того, потребуем, чтобы вероятность события, которое заведомо происходит, была равна единице. Сделанные замечания позволяют решить нашу задачу. Пусть n - число различных вариантов наборов карт, которые может получить игрок, A1, A2, ..., An - события, соответствующие получению каждого из этих наборов, и P(A1), P(A2), ..., P(An) - вероятности этих событий. Пусть A - событие, состоящее в том, что игрок получает набор карт, содержащий один или несколько тузов, и m - число наборов из 13 карт, каждый из которых содержит один или несколько тузов, B1, B2, ..., Bm - события, соответствующие получению такого набора. Тогда A - событие, состоящее в том, что наступает одно из множества событий B1, B2, ..., Bm. Наконец, пусть P (A) - вероятность события A. Так как события A1, A2, ..., An равновероятные и взаимоисключающие, причем одно из них достоверно происходит, то

и, следовательно,

Аналогично,

в силу чего окончательно получаем

Этот результат сводит исходную задачу к чисто комбинаторной задаче нахождения чисел m и n. Последняя легко решается с помощью теории перестановок и сочетаний, некогда бывшей существенной частью теории вероятностей, но ныне таковой не являющейся. Число n есть просто число способов, которыми можно выбрать 13 карт из 52. Используя стандартные обозначения, находим

Вместо числа m проще найти число (n - m) - число наборов из 13 карт, не содержащих ни одного туза, или число способов, которыми можно выбрать 13 карт из 48:

Следовательно,

Было бы ошибкой полагать, что решение любой вероятностной задачи всегда можно представить в виде простого отношения двух чисел вида P (A) = m/n. Приведенное рассуждение показывает, что такое отношение (числа благоприятных случаев к общему числу случаев) выражает вероятность, которую требуется найти, если элементарные события равновероятны. По-видимому, наиболее важной ситуацией, в которой изложенный выше метод неприменим, является биномиальное распределение вероятностей. Представим себе, что некоторое испытание проводится n раз, причем каждый раз его исход может быть либо благоприятным У ("успех"), либо неблагоприятным Н ("неудача"). Элементарными событиями можно считать все возможные последовательности У и Н (их общее число равно 2n), каждая такая последовательность содержит n символов. В этом случае вероятности элементарных событий невозможно вывести из постулата о равновероятности всех последовательностей из n символов, содержащих одинаковое количество У и Н. Их невозможно получить и из дополнительного постулата о том, что вероятность отдельного благоприятного исхода равна p, а вероятность одного неблагоприятного исхода равна 1 - p. Необходимо также в явном виде указать, каким образом вероятность будущих исходов испытаний зависит от прошлых исходов. Простейшее предположение состоит в том, что будущие исходы не зависят от прошлых, что довольно часто встречается на практике. Его можно формально выразить, постулировав, что вероятность любой заданной последовательности У и Н равна произведению вероятностей отдельных исходов. При таких предположениях вероятность, например, последовательности исходов УУУНУНН равна p4(1 - p)3. Нетрудно показать, что в общем случае вероятность получения ровно k благоприятных исходов в n испытаниях равна

Рассматриваемые нами простые методы и идеи решают большой круг различных задач, имеющих практическое значение почти во всех областях современной жизни. Например, теория статистического выборочного метода служит основой столь разных приложений, как опросы общественного мнения и контроль качества продукции на современных промышленных предприятиях. В современном естествознании простые комбинаторные задачи теории вероятностей занимают центральное место в кинетической теории газов, в классической (менделевской) и современной генетике. Наконец, невозможно переоценить внутренние связи теории вероятностей с другими областями математики. В 1908 Э. Борель опубликовал работу, имевшую важное значение для последующего развития теории вероятностей. В этой работе он показал, что задачу о последовательных независимых испытаниях, которую мы рассматривали выше, можно интерпретировать как задачу из теории чисел. Если произвольное действительное число x, лежащее между 0 и 1, разложить в двоичную дробь, то цифры такого разложения (нули и единицы) ведут себя так же, как символы У и Н, о которых шла речь выше: они имеют вероятности p = 1/2 и независимы. (Результат Бореля, грубо говоря, состоит в том, что в двоичном разложении почти любого числа x доли нулей и единиц равны.) Как это часто бывает в науке, связь, установленная между, казалось бы, далекими друг от друга теориями, оказалась необычайно ценной. Работа Бореля способствовала построению современной аксиоматической теории вероятностей, предложенной 20 годами позднее А. Н. Колмогоровым, которую мы рассмотрим в следующем разделе. Затем будет показано, каким образом теория вероятностей позволяет проверять адекватность данной модели той реальной ситуации, которую она призвана представлять. Ответ на этот вопрос дается с помощью закона больших чисел, который был поставлен Борелем на прочный и не вызывающий сомнений фундамент. И в заключение мы рассмотрим временные последовательности случайных событий (стохастические процессы). Пространство элементарных событий. В теории множеств запись A B ("объединение" множеств A и B) обозначает множество элементов (точек), принадлежащих множеству A, или множеству B, или множествам A и B одновременно, а запись A B ("пересечение" множеств A и B) - множество, элементы которого принадлежат множествам A и B одновременно. Запись A1 A2 ... An, или сокращенно , означает "объединение" n множеств A1, A2, ... An; аналогично, означает объединение бесконечной последовательности множеств A1, A2, ... n множеств A1, A2, ... An, а - "пересечение" бесконечной последовательности множеств. Наконец, C (A) ("дополнение" множества A) означает множество всех элементов, не принадлежащих множеству A (см. также МНОЖЕСТВ ТЕОРИЯ).
Подобно тому, как в геометрии для строгой формулировки задачи необходимо построить пространство неопределяемых далее объектов, называемых точками, прямыми и т.д., которые удовлетворяют определенным аксиомам, формулировка вероятностной задачи требует введения пространства, называемого пространством элементарных событий, элементы которого могут быть произвольной природы и различными в разных задачах. (Хотя мы используем геометрический язык, пространство элементарных событий, как правило, не является пространством в обычном смысле;
см. также АБСТРАКТНЫЕ ПРОСТРАНСТВА.)
Обозначим пространство элементарных событий (или элементарных исходов) через W, его подмножества - через A, B, C, ј и некоторую совокупность подмножеств из W - через . Совокупность подмножеств выбирается, исходя из следующих постулатов: W должно принадлежать ; должно принадлежатьA1, A2, ј множеств из совокупности должны принадлежать и ; для каждого A из совокупности должно принадлежать и C (A).
Вероятностная интерпретация этих аксиом заключается в следующем: совокупность Вероятностная интерпретация этих аксиом заключается в следующем: совокупность A1, A2, ј, а также достоверное событие W, событие , состоящее в том, что происходят все события Ai, и событие , состоящее в том, что происходит по крайней мере одно событие из Ai, и C(A) - событие, состоящее в том, что событие A не происходит. Такова первая часть системы аксиом. Остальные аксиомы относятся к действительнозначной функции P (A), которая называется "вероятностью" множества (события) A и определена для любого A из . Она должна удовлетворять условиям: 0 =< P (A) =< 1 для любого A из ; P (W) = 1 и если A1, A2, ... - последовательность множеств из , такая, что объединение Ai Aj пусто при любом i, отличном от j, то

Самый важный частный случай последнего из перечисленных условий соответствует выбору A1 = A, A2 = B, а все остальные Ai = C (W) (пустому множеству). Условие при этом сводится к тому, что пересечение A B - пустое множество. В свою очередь это означает, что A и B не могут происходить одновременно, или что события A и B "взаимоисключающие". Условие

означает, что вероятность наступления одного из двух взаимоисключающих событий равна сумме их вероятностей.
Система, удовлетворяющая принятым аксиомам относительно тройки (W,
, P), называется вероятностным пространством и
с точки зрения математика является частным случаем системы аксиом современной теории интегрирования или теории
меры (см. также ФУНКЦИЙ ТЕОРИЯ). В вероятностном пространстве
(W,
, P) может существовать пара (или много пар) событий A и B из таких, что
.
О двух событиях A и B, обладающих этим свойством, говорят, что они "независимы". Независимость некоторых пар событий может быть интуитивно очевидной и даже служить своего рода путеводной нитью при построении вероятностного пространства. Так было, когда мы предположили, что вероятность следующих друг за другом исходов последовательных У и Н в серии испытаний равна произведению вероятностей отдельных событий У и Н. В более сложных моделях проверка независимости может быть сопряжена с определенными трудностями, но обычно позволяет по-новому взглянуть на ситуацию, представленную с помощью пространства элементарных событий. Чтобы проиллюстрировать изложенную выше теорию, рассмотрим задачи, которые были приведены ранее. В качестве пространства элементарных событий для игры в бридж проще всего принять пространство всеx n = взяток, а в качестве - совокупность всех подмножеств из W. В примере с серией испытаний проще всего выбрать за множество всех серий длины n, состоящих из двух символов, а в качестве - снова совокупность всех подмножеств из W. Таким образом, любое событие определяется тем, что происходит при одном или нескольких из n испытаний из . Тем не менее такого конечного пространства элементарных событий недостаточно для описания всех возможных случаев. Чтобы пояснить это обстоятельство, приведем несколько примеров.
Пример 1. Найти вероятность наступления первого У после k испытаний. Заметим, что ни одно конечное пространство
элементарных событий не охватывает все k. Однако можно построить бесконечное пространство элементарных событий,
которого будет достаточно для любого k. (В этом случае W состоит из всех возможных бесконечных последовательностей
У и Н, но оказывается очень сложным.) Пусть p - вероятность того, что первый исход У наступает при k-м испытании.
Можно показать, что p = (1 - p)k - 1p. Кроме того, используя бесконечное пространство элементарных событий, можно
показать, что наступление рано или поздно У - достоверное событие, если p > 0. Это обстоятельство находит отражение
в том, что

Решение нашей задачи о вероятности того, что первый исход У наступает после k
испытаний, дается формулой

Пример 2. Найти вероятность того, что при некотором k происходит "выравнивание", т.е. число исходов У становится равным числу исходов Н. В этой задаче бесконечное пространство элементарных событий работает уже на "всю мощь", так как в любом конечном пространстве элементарных событий такое явление, как наступление рано или поздно выравнивания, не наблюдается. Можно показать, что вероятность происходящего в конце концов выравнивания равна 1 - 1 - 2p. Отсюда мы заключаем, что такое выравнивание достоверно тогда и только тогда, когда вероятности У и Н равны. С предыдущими задачами тесно связана важная вероятностная модель, известная под названием "случайного блуждания" на целых числах. Наглядно это можно представить так: частица, которая при t = 0 находится в точке 0, совершает скачок (переход) в момент времени 1 либо в точку +1 (с вероятностью p), либо в точку -1 (с вероятностью (1 - p)). Следовательно, если частица в момент времени n оказывается в точке k, то в момент времени n + 1 она с вероятностью p переходит в точку k + 1 и с вероятностью 1 - p - в точку k - 1. Из примера 2 следует, что возвращение в исходную точку достоверно тогда и только тогда, когда p = 1/2 т.е. в случае т.н. симметричного случайного блуждания. Модификации и обобщения задачи о случайном блуждании представляют интерес не только в задачах, связанных с азартными играми (состояние в момент времени n в таких задачах можно интерпретировать как денежную сумму, которой располагает игрок в этот момент времени; можно поинтересоваться, например, какова вероятность, что игрок выиграет некоторую сумму денег прежде, чем проиграет свой начальный капитал); случайные блуждания имеют первостепенное значение для т.н. последовательного статистического анализа, самой общей теории проверки статистических гипотез. Некоторые из описанных выше случайных явлений могут быть естественным образом представлены действительнозначными величинами, такими как X - количество исходов У в серии из n испытаний или Y - количество испытаний до наступления первого исхода У в той же серии испытаний. Важнейшее достижение аксиоматической формулировки теории вероятностей состоит в том, что она предлагает простой способ изучения таких величин, называемых случайными величинами. Случайные величины можно определить как функции, заданные на пространстве элементарных событий (действительно, для каждой точки пространства W случайная величина X имеет заданное значение), и производить над ними многие обычные операции математического анализа, такие как сложение, умножение и даже интегрирование. Интеграл от случайной величины Z (принимающей целочисленные значения) можно определить как сумму

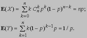
E(Z) называется "математическим ожиданием" случайной величины Z. Например, определенные выше случайные величины X и Y имеют математические ожидания

На интуитивном уровне понятие случайной величины достаточно ясно, так что оно довольно часто возникает еще до построения пространства элементарных событий. Ученый может заниматься изучением некоторой величины X, значения которой случайны либо из-за наличия экспериментальной ошибки (как в физических измерениях), либо потому, что эксперимент проводится на одном случайно выбранном элементе некоторой совокупности, состоящей из многих аналогичных элементов (например, рост какого-либо представителя расово однородной популяции взрослых или срок службы одного из изделий, выбранных из партии изделий массового производства, например плавких предохранителей, произведенных в одинаковых условиях). Возникает необходимость построить пространство элементарных событий, содержащее любое событие вида X Ј x, где x принимает действительные значения. Это можно сделать, и вероятность такого события F (x) = P {X Ј x} называется функцией распределения случайной величины X. Понятие функции распределения играет важную роль, поскольку позволяет определить математическое ожидание случайной величины X через F (x) с помощью интегрирования. Дисперсия случайной величины X определяется как

и служит удобной мерой разброса, так как равна нулю тогда и только тогда, когда случайная величина X постоянна. Две случайные величины X1 и X2, определенные на одном и том же пространстве элементарных событий, называются "независимыми", если каждое событие вида X1 Ј x не зависит от любого события вида X2 =< x, где x - любое действительное число. Важное значение имеют следующие теоремы: для любых двух случайных величин с конечными математическими ожиданиями

для любых двух независимых случайных величин с конечными дисперсиями

и, наконец, неравенство Чебышева, которое утверждает, что при любом e < 0

Помимо грубой оценки вероятности больших отклонений, это неравенство лежит в основе доказательства закона больших чисел, который мы сформулируем в следующем разделе.
Закон больших чисел и предельные теоремы. Определенное в предыдущем разделе математическое ожидание случайной величины играет важную роль в теории вероятностей и ее приложениях. Объясняется это тем, что большинству случайных явлений присущи закономерности, которые проявляются при больших значениях n. Иначе говоря, можно показать, что хотя исход одного испытания может быть случайным и поэтому непредсказуемым, некоторые свойства исходов длинной серии одинаковых независимых испытаний можно предсказать с достаточно большой точностью. Рассмотрим пример. Пусть Sn - число благоприятных исходов в серии из n независимых испытаний, причем вероятность каждого благоприятного исхода равна p. Так называемый слабый закон больших чисел (сформулированный Я.Бернулли и опубликованный в "Искусстве предположений" в 1713 его братом И.Бернулли) утверждает, что при любом e > 0

Эту теорему можно обобщить, если представить Sn как сумму независимых случайных величин

где Xk равна 1 или 0 в зависимости от того, будет ли исход k-го испытания благоприятным или неблагоприятным. Кроме того,

что позволяет записать теорему Бернулли в виде

при любом e > 0.
Известно, что этот результат остается в силе для произвольной последовательности X1, X2, ... таких независимых случайных величин с конечным математическим ожиданием. Следовательно, математическое ожидание случайной величины можно оценить со сколь угодно малой вероятностью ошибки, превышающей e, с помощью последовательности выборочных средних (X1 + X2 + ј +Xn)/n при больших n. Такого рода задачи относятся к области статистики, которая позволяет от